こんにちは。
八千代緑が丘校の轟です。
今回も、
という型の漸化式を扱っていきます。
解く際にの方針は前回と一緒です。
では、今回はこのような問題について
考えていきます。
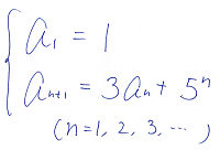
次のように定義される数列の一般項を求めよ。
今回も、与えられた漸化式を![]()
の形に式変形していこうと思います。
どのように式変形すれば良いか
わかりますか?
では以下に解答を記載します。
===========================
<八千代緑が丘 校舎紹介ページ>
http://www.jasmec.co.jp/koushaguide/pym.htm
<八千代緑が丘 校舎紹介動画>
https://youtu.be/KOoM-l4YrOE
===========================

第12回はここまで。
今日もお疲れ様でした。
(八千代緑が丘校 轟)
=======================
★全国統一高校生テスト★
お申込みはこちらから👇
https://www.jasmec.co.jp/toshin/reserve/premium_reserve.htm
★Instagramはじめました★
フォローお願いします👇
https://www.instagram.com/honshin_premium/
<八千代緑が丘校 校舎紹介ページ>
http://www.jasmec.co.jp/koushaguide/pym.htm
新規開校!YouTubeはこちらから👇
https://youtu.be/KOoM-l4YrOE
=======================